Pengertian Sistem Bilangan dan Contohnya | Cahyo Setyono

 


Assalamu'alaikum Wa Rahmatullahi Wa Baraktuh.

Hai, teman-teman sedang belajar ini, sekarang tentang "Sistem Bilangan" juga nanti saya melanjutkan.

Pengertian Sistem Bilangan

Sistem Bilangan atau Number System adalah Suatu cara untuk mewakili besaran dari suatu item fisik. Sistem Bilangan menggunakan suatu bilangan dasar atau basis tertentu. Sistem bilangan ini digunakan untuk mewakili sebuah perintah dalam komputer agar dimengerti oleh mesin atau computer.

Ada 4 sistem bilangan Desimal, Biner, Oktal, dan Hexadesimal

Bilangan Desimel

Bilangan desimal adalah bilangan yang paling umum atau paling sering kita temui di kehidupan sehari-hari. Sistem bilangan ini menggunakan basis 10 atau menggunakan 10 macam bilangan yaitu 0, 1, 2, 3, 4, 5, 6, 7, 8, dan 9. Sistem bilangan desimal dapat berupa integer desimal (decimal integer) dan dapat juga berupa pecahan desimal (decimal fraction).

Ket : bilangan bulat yang menyatakan posisi relatif N terhadap koma atau satuan.







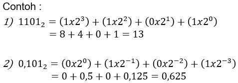
Bilangan Biner

Bilangan biner (basis 2) adalah sistem bilangan yang hanya terdiri dari 2 simbol yaitu 0 dan 1. Bilangan Biner ini di populerkan oleh John Van Neuman. Contohnya menggunakan bilangan biner agar bisa saling berkomunikasi antara komponen (hardware) maupun antar sesama komputer. Karena komputer hanya menggunakan bahasa mesin, yaitu apabila komputer mendapatkan sinyal listrik bernilai 1, apabila komputer tidak mendapatkan sinyal listrik berarti bernilai 0.

Nilai suatu bilangan basis 2 dapat dinyatakan sebagai :
Ket : bilangan bulat dalam desimal yang Menyatakan posisi relatif N  terhadap koma atau satuan










Bilangan Oktal

Bilangan oktal merupakan sistem bilangan yang terdiri dari 8 simbol yaitu 0, 1, 2, 3, 4, 5, 6, dan 7. Bilangan oktal verasal dari tiap 3 bit biner dari ujung kanan. Nilai suatu bilangan basis 8 dapat dinyatakan sebagai :
Ket : bilangan bulat dalam desimal yang menyatakan posisi relatif N terhadap koma atau satuan



Bilangan Hexadesimal

Bilangan hexadesimal (basis 16). Hexa berarti 6 dan Desimal berarti 10 adalah jenis sistem bilangan yang terdiri dari 16 simbol yaitu: 0, 1, 2, 3, 4, 5, 6, 7, 8, 9, A(10), B(11), C(12), D(13), E(14), dan F(15). Berbeda dengan ke tiga sistem bilangan yang telah dibahas. Sistem bilangan hexadesimal memadukan 2 unsur yaitu angka dan huruf.

Nilai suatu bilangan basis 8 dapat dinyatakan sebagai :






Ket : bilangan bulat dalam desimal yang menyatakan posisi relatif N terhadap koma atau satuan










Semoga bermanfaat belajar rajin dan pandai, terima kasih blog saya. 

Komentar

Postingan populer dari blog ini

Jenis dan Perkembangan Penyimpanan Media Data (memori) - CAHYO SETYONO

Penjelasan Rangkaian Listrik Sederhana